ZINC CITRATE

Molecular Formula

Zn3(C6H5O7)

Molecular Weight

592.39

CAS No.

546-46-3

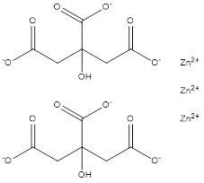
Structural Formula

Description 

Crystalline Powder                                          

Assay (by Titrimetry)               

Min 98.00 %

L.O.D.                                  

Not more than 2.0 % w/w

Grades Available:

  • Food Grade
  • Technical Grade
  • Reagent Grade
  • We also provide custom synthesis based on the quality required.

Packaging

50 kgs HDPE Bags with LD Liner,

25 kgs HDPE Bags with LD Liner,

As per customer’s requirement

Enquiry

icon

Office Address

SKC CHEMIE PVT LTD
PLOT NO. A 85 TTC INDUSTRIAL AREA KHAIRNE NAVI MUMBAI - 400709

Get direction Get direction icon
icon

Email Address

skcchemie@hotmail.com

info@skcchemie.com

Send message Send message icon
icon

Phone Number

+91 9820057869

+91 9930737745

+91 9167557678

Call Us Call Us icon